© | Dror Bar-Natan: Academic Pensieve: Blackboard Shots: 25-347:
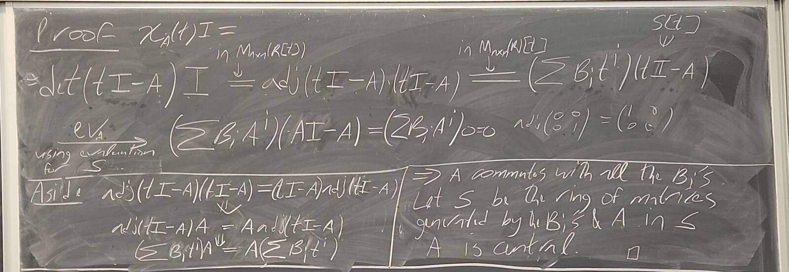
251119-170138: Nov 19 H31-32: Morphisms of rings, Cayley-Hamilton, ideals, quotients (8).
Random
newer
older
up

cycle text mode
25-347-{ hide text
  260402-064508: More reviews (10).
  260402-064507: More reviews (9).
  260402-064506: More reviews (8).
  260402-064505: More reviews (7).
  260402-064504: More reviews (6).
  260402-064503: More reviews (5).
  260402-064502: More reviews (4).
  260402-064501: More reviews (3).
  260402-064500: More reviews (2).
  260402-064459: More reviews.
  260327-134459: Review of the lemmas for the Fundamental Theorem of Galois theory (11).
  260327-134458: Review of the lemmas for the Fundamental Theorem of Galois theory (10).
  260327-134457: Review of the lemmas for the Fundamental Theorem of Galois theory (9).
  260327-134456: Review of the lemmas for the Fundamental Theorem of Galois theory (8).
  260327-134455: Review of the lemmas for the Fundamental Theorem of Galois theory (7).
  260327-134454: Review of the lemmas for the Fundamental Theorem of Galois theory (6).
  260327-134453: Review of the lemmas for the Fundamental Theorem of Galois theory (5).
  260327-134452: Review of the lemmas for the Fundamental Theorem of Galois theory (4).
  260327-134451: Review of the lemmas for the Fundamental Theorem of Galois theory (3).
  260327-134450: Review of the lemmas for the Fundamental Theorem of Galois theory (2).
  260327-134449: Review of the lemmas for the Fundamental Theorem of Galois theory.
  260325-130141: Ruler and compass constructions (19).
  260325-130140: Ruler and compass constructions (18).
  260325-130139: Ruler and compass constructions (17).
  260325-130138: Ruler and compass constructions (16).
  260325-130137: Ruler and compass constructions (15).
  260325-130136: Ruler and compass constructions (14).
  260325-130135: Ruler and compass constructions (13).
  260325-130134: Ruler and compass constructions (12).
  260325-130133: Ruler and compass constructions (11).
  260325-130132: Ruler and compass constructions (10).
  260325-130131: Ruler and compass constructions (9).
  260325-130130: Ruler and compass constructions (8).
  260325-130129: Ruler and compass constructions (7).
  260325-130128: Ruler and compass constructions (6).
  260325-130127: Ruler and compass constructions (5).
  260325-130126: Ruler and compass constructions (4).
  260325-130125: Ruler and compass constructions (3).
  260325-130124: Ruler and compass constructions (2).
  260325-130123: Ruler and compass constructions.
  260320-142001: Solvable and unsolvable extensions, ruler and compass (5).
  260320-142000: Solvable and unsolvable extensions, ruler and compass (4).
  260320-141959: Solvable and unsolvable extensions, ruler and compass (3).
  260320-141958: Solvable and unsolvable extensions, ruler and compass (2).
  260320-141957: Solvable and unsolvable extensions, ruler and compass.
  260318-141745: Proof of the Fundamental Theorem, solvable and unsolvable extensions (17).
  260318-141744: Proof of the Fundamental Theorem, solvable and unsolvable extensions (16).
  260318-141743: Proof of the Fundamental Theorem, solvable and unsolvable extensions (15).
  260318-141742: Proof of the Fundamental Theorem, solvable and unsolvable extensions (14).
  260318-141741: Proof of the Fundamental Theorem, solvable and unsolvable extensions (13).
  260318-141740: Proof of the Fundamental Theorem, solvable and unsolvable extensions (12).
  260318-141739: Proof of the Fundamental Theorem, solvable and unsolvable extensions (11).
  260318-141738: Proof of the Fundamental Theorem, solvable and unsolvable extensions (10).
  260318-141737: Proof of the Fundamental Theorem, solvable and unsolvable extensions (9).
  260318-141736: Proof of the Fundamental Theorem, solvable and unsolvable extensions (8).
  260318-141735: Proof of the Fundamental Theorem, solvable and unsolvable extensions (7).
  260318-141734: Proof of the Fundamental Theorem, solvable and unsolvable extensions (6).
  260318-141733: Proof of the Fundamental Theorem, solvable and unsolvable extensions (5).
  260318-141732: Proof of the Fundamental Theorem, solvable and unsolvable extensions (4).
  260318-141731: Proof of the Fundamental Theorem, solvable and unsolvable extensions (3).
  260318-141730: Proof of the Fundamental Theorem, solvable and unsolvable extensions (2).
  260318-141729: Proof of the Fundamental Theorem, solvable and unsolvable extensions.
  260314-070409: Proof of the Fundamental Theorem (8).
  260314-070408: Proof of the Fundamental Theorem (7).
  260314-070407: Proof of the Fundamental Theorem (6).
  260314-070406: Proof of the Fundamental Theorem (5).
  260314-070405: Proof of the Fundamental Theorem (4).
  260314-070404: Proof of the Fundamental Theorem (3).
  260314-070403: Proof of the Fundamental Theorem (2).
  260314-070402: Proof of the Fundamental Theorem.
  260311-124948: The Fundamental Theorem of Galois Theory: Statement, Examples, Proof (13).
  260311-124947: The Fundamental Theorem of Galois Theory: Statement, Examples, Proof (12).
  260311-124946: The Fundamental Theorem of Galois Theory: Statement, Examples, Proof (11).
  260311-124945: The Fundamental Theorem of Galois Theory: Statement, Examples, Proof (10).
  260311-124944: The Fundamental Theorem of Galois Theory: Statement, Examples, Proof (9).
  260311-124943: The Fundamental Theorem of Galois Theory: Statement, Examples, Proof (8).
  260311-124942: The Fundamental Theorem of Galois Theory: Statement, Examples, Proof (7).
  260311-124941: The Fundamental Theorem of Galois Theory: Statement, Examples, Proof (6).
  260311-124940: The Fundamental Theorem of Galois Theory: Statement, Examples, Proof (5).
  260311-124939: The Fundamental Theorem of Galois Theory: Statement, Examples, Proof (4).
  260311-124938: The Fundamental Theorem of Galois Theory: Statement, Examples, Proof (3).
  260311-124937: The Fundamental Theorem of Galois Theory: Statement, Examples, Proof (2).
  260311-124936: The Fundamental Theorem of Galois Theory: Statement, Examples, Proof.
  260306-133222: Galois examples (9).
  260306-133221: Galois examples (8).
  260306-133220: Galois examples (7).
  260306-133219: Galois examples (6).
  260306-133218: Galois examples (5).
  260306-133217: Galois examples (4).
  260306-133216: Galois examples (3).
  260306-133215: Galois examples (2).
  260306-133214: Galois examples.
  260306-132812: Splitting is absolute, the primitive element theorem (20).
  260306-132811: Splitting is absolute, the primitive element theorem (19).
  260306-132810: Splitting is absolute, the primitive element theorem (18).
  260306-132809: Splitting is absolute, the primitive element theorem (17).
  260306-132808: Splitting is absolute, the primitive element theorem (16).
  260306-132807: Splitting is absolute, the primitive element theorem (15).
  260306-132806: Splitting is absolute, the primitive element theorem (14).
  260306-132805: Splitting is absolute, the primitive element theorem (13).
  260306-132804: Splitting is absolute, the primitive element theorem (12).
  260306-132803: Splitting is absolute, the primitive element theorem (11).
  260306-132802: Splitting is absolute, the primitive element theorem (10).
  260306-132801: Splitting is absolute, the primitive element theorem (9).
  260306-132800: Splitting is absolute, the primitive element theorem (8).
  260306-132759: Splitting is absolute, the primitive element theorem (7).
  260306-132758: Splitting is absolute, the primitive element theorem (6).
  260306-132757: Splitting is absolute, the primitive element theorem (5).
  260306-132756: Splitting is absolute, the primitive element theorem (4).
  260306-132755: Splitting is absolute, the primitive element theorem (3).
  260306-132754: Splitting is absolute, the primitive element theorem (2).
  260306-132753: Splitting is absolute, the primitive element theorem.
  260227-140120: The Eisenstein Criterion (11).
  260227-140119: The Eisenstein Criterion (10).
  260227-140118: The Eisenstein Criterion (9).
  260227-140117: The Eisenstein Criterion (8).
  260227-140116: The Eisenstein Criterion (7).
  260227-140115: The Eisenstein Criterion (6).
  260227-140114: The Eisenstein Criterion (5).
  260227-140113: The Eisenstein Criterion (4).
  260227-140112: The Eisenstein Criterion (3).
  260227-140111: The Eisenstein Criterion (2).
  260227-140110: The Eisenstein Criterion.
  260225-124344: Splitting fields, finite fields (20).
  260225-124343: Splitting fields, finite fields (19).
  260225-124342: Splitting fields, finite fields (18).
  260225-124341: Splitting fields, finite fields (17).
  260225-124340: Splitting fields, finite fields (16).
  260225-124339: Splitting fields, finite fields (15).
  260225-124338: Splitting fields, finite fields (14).
  260225-124337: Splitting fields, finite fields (13).
  260225-124336: Splitting fields, finite fields (12).
  260225-124335: Splitting fields, finite fields (11).
  260225-124334: Splitting fields, finite fields (10).
  260225-124333: Splitting fields, finite fields (9).
  260225-124332: Splitting fields, finite fields (8).
  260225-124331: Splitting fields, finite fields (7).
  260225-124330: Splitting fields, finite fields (6).
  260225-124329: Splitting fields, finite fields (5).
  260225-124328: Splitting fields, finite fields (4).
  260225-124327: Splitting fields, finite fields (3).
  260225-124326: Splitting fields, finite fields (2).
  260225-124325: Splitting fields, finite fields.
  260213-155524: Splitting fields (10).
  260213-155523: Splitting fields (9).
  260213-155522: Splitting fields (8).
  260213-155521: Splitting fields (7).
  260213-155520: Splitting fields (6).
  260213-155519: Splitting fields (5).
  260213-155518: Splitting fields (4).
  260213-155517: Splitting fields (3).
  260213-155516: Splitting fields (2).
  260213-155515: Splitting fields.
  260211-124446: Finite extensions (16).
  260211-124445: Finite extensions (15).
  260211-124444: Finite extensions (14).
  260211-124443: Finite extensions (13).
  260211-124442: Finite extensions (12).
  260211-124441: Finite extensions (11).
  260211-124440: Finite extensions (10).
  260211-124439: Finite extensions (9).
  260211-124438: Finite extensions (8).
  260211-124437: Finite extensions (7).
  260211-124436: Finite extensions (6).
  260211-124435: Finite extensions (5).
  260211-124434: Finite extensions (4).
  260211-124433: Finite extensions (3).
  260211-124432: Finite extensions (2).
  260211-124431: Finite extensions.
  260206-124625: Algebraic numbers (10).
  260206-124624: Algebraic numbers (9).
  260206-124623: Algebraic numbers (8).
  260206-124622: Algebraic numbers (7).
  260206-124621: Algebraic numbers (6).
  260206-124620: Algebraic numbers (5).
  260206-124619: Algebraic numbers (4).
  260206-124618: Algebraic numbers (3).
  260206-124617: Algebraic numbers (2).
  260206-124616: Algebraic numbers.
  260204-130445: End of modules, the Sicherman dice, algebraic numbers (21).
  260204-130444: End of modules, the Sicherman dice, algebraic numbers (20).
  260204-130443: End of modules, the Sicherman dice, algebraic numbers (19).
  260204-130442: End of modules, the Sicherman dice, algebraic numbers (18).
  260204-130441: End of modules, the Sicherman dice, algebraic numbers (17).
  260204-130440: End of modules, the Sicherman dice, algebraic numbers (16).
  260204-130439: End of modules, the Sicherman dice, algebraic numbers (15).
  260204-130438: End of modules, the Sicherman dice, algebraic numbers (14).
  260204-130437: End of modules, the Sicherman dice, algebraic numbers (13).
  260204-130436: End of modules, the Sicherman dice, algebraic numbers (12).
  260204-130435: End of modules, the Sicherman dice, algebraic numbers (11).
  260204-130434: End of modules, the Sicherman dice, algebraic numbers (10).
  260204-130433: End of modules, the Sicherman dice, algebraic numbers (9).
  260204-130432: End of modules, the Sicherman dice, algebraic numbers (8).
  260204-130431: End of modules, the Sicherman dice, algebraic numbers (7).
  260204-130430: End of modules, the Sicherman dice, algebraic numbers (6).
  260204-130429: End of modules, the Sicherman dice, algebraic numbers (5).
  260204-130428: End of modules, the Sicherman dice, algebraic numbers (4).
  260204-130427: End of modules, the Sicherman dice, algebraic numbers (3).
  260204-130426: End of modules, the Sicherman dice, algebraic numbers (2).
  260204-130425: End of modules, the Sicherman dice, algebraic numbers.
  260130-144932: The structure theorem of modules: Towards uniqueness (9).
  260130-144931: The structure theorem of modules: Towards uniqueness (8).
  260130-144930: The structure theorem of modules: Towards uniqueness (7).
  260130-144929: The structure theorem of modules: Towards uniqueness (6).
  260130-144928: The structure theorem of modules: Towards uniqueness (5).
  260130-144927: The structure theorem of modules: Towards uniqueness (4).
  260130-144926: The structure theorem of modules: Towards uniqueness (3).
  260130-144925: The structure theorem of modules: Towards uniqueness (2).
  260130-144924: The structure theorem of modules: Towards uniqueness.
  260128-161105: The structure theorem of modules: examples, PIDs (24).
  260128-161104: The structure theorem of modules: examples, PIDs (23).
  260128-161103: The structure theorem of modules: examples, PIDs (22).
  260128-161102: The structure theorem of modules: examples, PIDs (21).
  260128-161101: The structure theorem of modules: examples, PIDs (20).
  260128-161100: The structure theorem of modules: examples, PIDs (19).
  260128-161059: The structure theorem of modules: examples, PIDs (18).
  260128-161058: The structure theorem of modules: examples, PIDs (17).
  260128-161057: The structure theorem of modules: examples, PIDs (16).
  260128-161056: The structure theorem of modules: examples, PIDs (15).
  260128-161055: The structure theorem of modules: examples, PIDs (14).
  260128-161054: The structure theorem of modules: examples, PIDs (13).
  260128-161053: The structure theorem of modules: examples, PIDs (12).
  260128-161052: The structure theorem of modules: examples, PIDs (11).
  260128-161050: The structure theorem of modules: examples, PIDs (10).
  260128-161049: The structure theorem of modules: examples, PIDs (9).
  260128-161048: The structure theorem of modules: examples, PIDs (8).
  260128-161047: The structure theorem of modules: examples, PIDs (7).
  260128-161046: The structure theorem of modules: examples, PIDs (6).
  260128-161045: The structure theorem of modules: examples, PIDs (5).
  260128-161044: The structure theorem of modules: examples, PIDs (4).
  260128-161043: The structure theorem of modules: examples, PIDs (3).
  260128-161042: The structure theorem of modules: examples, PIDs (2).
  260128-161041: The structure theorem of modules: examples, PIDs.
  260123-152457: Jacob on the "ring" of modules (9).
  260123-152456: Jacob on the "ring" of modules (8).
  260123-152455: Jacob on the "ring" of modules (7).
  260123-152454: Jacob on the "ring" of modules (6).
  260123-152453: Jacob on the "ring" of modules (5).
  260123-152452: Jacob on the "ring" of modules (4).
  260123-152451: Jacob on the "ring" of modules (3).
  260123-152450: Jacob on the "ring" of modules (2).
  260123-152449: Jacob on the "ring" of modules.
  260121-145750: Matt on tensor products (18).
  260121-145749: Matt on tensor products (17).
  260121-145748: Matt on tensor products (16).
  260121-145747: Matt on tensor products (15).
  260121-145746: Matt on tensor products (14).
  260121-145745: Matt on tensor products (13).
  260121-145744: Matt on tensor products (12).
  260121-145743: Matt on tensor products (11).
  260121-145742: Matt on tensor products (10).
  260121-145741: Matt on tensor products (9).
  260121-145740: Matt on tensor products (8).
  260121-145739: Matt on tensor products (7).
  260121-145738: Matt on tensor products (6).
  260121-145737: Matt on tensor products (5).
  260121-145736: Matt on tensor products (4).
  260121-145735: Matt on tensor products (3).
  260121-145734: Matt on tensor products (2).
  260121-145733: Matt on tensor products.
  260116-142518: gcd and lcm, the structure theorem (8).
  260116-142517: gcd and lcm, the structure theorem (7).
  260116-142516: gcd and lcm, the structure theorem (6).
  260116-142515: gcd and lcm, the structure theorem (5).
  260116-142514: gcd and lcm, the structure theorem (4).
  260116-142513: gcd and lcm, the structure theorem (3).
  260116-142512: gcd and lcm, the structure theorem (2).
  260116-142511: gcd and lcm, the structure theorem.
  260114-123519: The Euclidean algorithm, modules (20).
  260114-123518: The Euclidean algorithm, modules (19).
  260114-123517: The Euclidean algorithm, modules (18).
  260114-123516: The Euclidean algorithm, modules (17).
  260114-123515: The Euclidean algorithm, modules (16).
  260114-123514: The Euclidean algorithm, modules (15).
  260114-123513: The Euclidean algorithm, modules (14).
  260114-123512: The Euclidean algorithm, modules (13).
  260114-123511: The Euclidean algorithm, modules (12).
  260114-123510: The Euclidean algorithm, modules (11).
  260114-123509: The Euclidean algorithm, modules (10).
  260114-123508: The Euclidean algorithm, modules (9).
  260114-123507: The Euclidean algorithm, modules (8).
  260114-123506: The Euclidean algorithm, modules (7).
  260114-123505: The Euclidean algorithm, modules (6).
  260114-123504: The Euclidean algorithm, modules (5).
  260114-123503: The Euclidean algorithm, modules (4).
  260114-123502: The Euclidean algorithm, modules (3).
  260114-123501: The Euclidean algorithm, modules (2).
  260114-123500: The Euclidean algorithm, modules.
  260109-132328: Odds and ends on UFDs, PIDs, and GCDs (8).
  260109-132327: Odds and ends on UFDs, PIDs, and GCDs (7).
  260109-132326: Odds and ends on UFDs, PIDs, and GCDs (6).
  260109-132325: Odds and ends on UFDs, PIDs, and GCDs (5).
  260109-132324: Odds and ends on UFDs, PIDs, and GCDs (4).
  260109-132323: Odds and ends on UFDs, PIDs, and GCDs (3).
  260109-132322: Odds and ends on UFDs, PIDs, and GCDs (2).
  260109-132321: Odds and ends on UFDs, PIDs, and GCDs.
  260107-123558: Jan 7 H37-38: Rings with similar properties to Z (7).
  260107-123557: Jan 7 H37-38: Rings with similar properties to Z (6).
  260107-123556: Jan 7 H37-38: Rings with similar properties to Z (5).
  260107-123555: Jan 7 H37-38: Rings with similar properties to Z (4).
  260107-123554: Jan 7 H37-38: Rings with similar properties to Z (3).
  260107-123553: Jan 7 H37-38: Rings with similar properties to Z (2).
  260107-123552: Jan 7 H37-38: Rings with similar properties to Z.
  251128-123912: Nov 28 H36: primes and irreducibles (9).
  251128-123911: Nov 28 H36: primes and irreducibles (8).
  251128-123910: Nov 28 H36: primes and irreducibles (7).
  251128-123909: Nov 28 H36: primes and irreducibles (6).
  251128-123908: Nov 28 H36: primes and irreducibles (5).
  251128-123907: Nov 28 H36: primes and irreducibles (4).
  251128-123906: Nov 28 H36: primes and irreducibles (3).
  251128-123905: Nov 28 H36: primes and irreducibles (2).
  251128-123904: Nov 28 H36: primes and irreducibles.
  251126-130900: Nov 26 H34-35: Fields and maximal ideals, domains and prime ideals (13).
  251126-130859: Nov 26 H34-35: Fields and maximal ideals, domains and prime ideals (12).
  251126-130858: Nov 26 H34-35: Fields and maximal ideals, domains and prime ideals (11).
  251126-130857: Nov 26 H34-35: Fields and maximal ideals, domains and prime ideals (10).
  251126-130856: Nov 26 H34-35: Fields and maximal ideals, domains and prime ideals (9).
  251126-130855: Nov 26 H34-35: Fields and maximal ideals, domains and prime ideals (8).
  251126-130854: Nov 26 H34-35: Fields and maximal ideals, domains and prime ideals (7).
  251126-130853: Nov 26 H34-35: Fields and maximal ideals, domains and prime ideals (6).
  251126-130852: Nov 26 H34-35: Fields and maximal ideals, domains and prime ideals (5).
  251126-130851: Nov 26 H34-35: Fields and maximal ideals, domains and prime ideals (4).
  251126-130850: Nov 26 H34-35: Fields and maximal ideals, domains and prime ideals (3).
  251126-130849: Nov 26 H34-35: Fields and maximal ideals, domains and prime ideals (2).
  251126-130848: Nov 26 H34-35: Fields and maximal ideals, domains and prime ideals.
  251121-134449: Nov 21 H33: Quotients, iso theorems, fields (7).
  251121-134448: Nov 21 H33: Quotients, iso theorems, fields (6).
  251121-134447: Nov 21 H33: Quotients, iso theorems, fields (5).
  251121-134446: Nov 21 H33: Quotients, iso theorems, fields (4).
  251121-134445: Nov 21 H33: Quotients, iso theorems, fields (3).
  251121-134444: Nov 21 H33: Quotients, iso theorems, fields (2).
  251121-134443: Nov 21 H33: Quotients, iso theorems, fields.
  251119-170142: Nov 19 H31-32: Morphisms of rings, Cayley-Hamilton, ideals, quotients (12).
  251119-170141: Nov 19 H31-32: Morphisms of rings, Cayley-Hamilton, ideals, quotients (11).
  251119-170140: Nov 19 H31-32: Morphisms of rings, Cayley-Hamilton, ideals, quotients (10).
  251119-170139: Nov 19 H31-32: Morphisms of rings, Cayley-Hamilton, ideals, quotients (9).
  251119-170138: Nov 19 H31-32: Morphisms of rings, Cayley-Hamilton, ideals, quotients (8).
  251119-170137: Nov 19 H31-32: Morphisms of rings, Cayley-Hamilton, ideals, quotients (7).
  251119-170136: Nov 19 H31-32: Morphisms of rings, Cayley-Hamilton, ideals, quotients (6).
  251119-170135: Nov 19 H31-32: Morphisms of rings, Cayley-Hamilton, ideals, quotients (5).
  251119-170134: Nov 19 H31-32: Morphisms of rings, Cayley-Hamilton, ideals, quotients (4).
  251119-170133: Nov 19 H31-32: Morphisms of rings, Cayley-Hamilton, ideals, quotients (3).
  251119-170132: Nov 19 H31-32: Morphisms of rings, Cayley-Hamilton, ideals, quotients (2).
  251119-170131: Nov 19 H31-32: Morphisms of rings, Cayley-Hamilton, ideals, quotients.
  251114-123918: Nov 14 H30: Rings (6).
  251114-123917: Nov 14 H30: Rings (5).
  251114-123916: Nov 14 H30: Rings (4).
  251114-123915: Nov 14 H30: Rings (3).
  251114-123914: Nov 14 H30: Rings (2).
  251114-123913: Nov 14 H30: Rings.
  251112-125621: Nov 12 H28-29: Proof of the structure theorem for finitely generated Abelian groups (11).
  251112-125620: Nov 12 H28-29: Proof of the structure theorem for finitely generated Abelian groups (10).
  251112-125619: Nov 12 H28-29: Proof of the structure theorem for finitely generated Abelian groups (9).
  251112-125618: Nov 12 H28-29: Proof of the structure theorem for finitely generated Abelian groups (8).
  251112-125617: Nov 12 H28-29: Proof of the structure theorem for finitely generated Abelian groups (7).
  251112-125616: Nov 12 H28-29: Proof of the structure theorem for finitely generated Abelian groups (6).
  251112-125615: Nov 12 H28-29: Proof of the structure theorem for finitely generated Abelian groups (5).
  251112-125614: Nov 12 H28-29: Proof of the structure theorem for finitely generated Abelian groups (4).
  251112-125613: Nov 12 H28-29: Proof of the structure theorem for finitely generated Abelian groups (3).
  251112-125612: Nov 12 H28-29: Proof of the structure theorem for finitely generated Abelian groups (2).
  251112-125611: Nov 12 H28-29: Proof of the structure theorem for finitely generated Abelian groups.
  251107-162926: Nov 7 H27: FG Abelian groups and integer matrices (7).
  251107-162925: Nov 7 H27: FG Abelian groups and integer matrices (6).
  251107-162924: Nov 7 H27: FG Abelian groups and integer matrices (5).
  251107-162923: Nov 7 H27: FG Abelian groups and integer matrices (4).
  251107-162922: Nov 7 H27: FG Abelian groups and integer matrices (3).
  251107-162921: Nov 7 H27: FG Abelian groups and integer matrices (2).
  251107-162920: Nov 7 H27: FG Abelian groups and integer matrices.
  251105-133931: Nov 5 H25-26: $|G|=12$, free groups, $\pi_1$, and braids (12).
  251105-133930: Nov 5 H25-26: $|G|=12$, free groups, $\pi_1$, and braids (11).
  251105-133929: Nov 5 H25-26: $|G|=12$, free groups, $\pi_1$, and braids (10).
  251105-133928: Nov 5 H25-26: $|G|=12$, free groups, $\pi_1$, and braids (9).
  251105-133927: Nov 5 H25-26: $|G|=12$, free groups, $\pi_1$, and braids (8).
  251105-133926: Nov 5 H25-26: $|G|=12$, free groups, $\pi_1$, and braids (7).
  251105-133925: Nov 5 H25-26: $|G|=12$, free groups, $\pi_1$, and braids (6).
  251105-133924: Nov 5 H25-26: $|G|=12$, free groups, $\pi_1$, and braids (5).
  251105-133923: Nov 5 H25-26: $|G|=12$, free groups, $\pi_1$, and braids (4).
  251105-133922: Nov 5 H25-26: $|G|=12$, free groups, $\pi_1$, and braids (3).
  251105-133921: Nov 5 H25-26: $|G|=12$, free groups, $\pi_1$, and braids (2).
  251105-133920: Nov 5 H25-26: $|G|=12$, free groups, $\pi_1$, and braids.
  251024-151738: Oct 24 H24: More semi-direct products (5).
  251024-151737: Oct 24 H24: More semi-direct products (4).
  251024-151736: Oct 24 H24: More semi-direct products (3).
  251024-151735: Oct 24 H24: More semi-direct products (2).
  251024-151734: Oct 24 H24: More semi-direct products.
  251023-062249: Oct 22 H22-23: Groups of order 21, semi-direct products (11).
  251023-062248: Oct 22 H22-23: Groups of order 21, semi-direct products (10).
  251023-062247: Oct 22 H22-23: Groups of order 21, semi-direct products (9).
  251023-062246: Oct 22 H22-23: Groups of order 21, semi-direct products (8).
  251023-062245: Oct 22 H22-23: Groups of order 21, semi-direct products (7).
  251023-062244: Oct 22 H22-23: Groups of order 21, semi-direct products (6).
  251023-062243: Oct 22 H22-23: Groups of order 21, semi-direct products (5).
  251023-062242: Oct 22 H22-23: Groups of order 21, semi-direct products (4).
  251023-062241: Oct 22 H22-23: Groups of order 21, semi-direct products (3).
  251023-062240: Oct 22 H22-23: Groups of order 21, semi-direct products (2).
  251023-062239: Oct 22 H22-23: Groups of order 21, semi-direct products.
  251017-223649: Oct 17 H21: Proof of Sylow (6).
  251017-223648: Oct 17 H21: Proof of Sylow (5).
  251017-223647: Oct 17 H21: Proof of Sylow (4).
  251017-223646: Oct 17 H21: Proof of Sylow (3).
  251017-223645: Oct 17 H21: Proof of Sylow (2).
  251017-223644: Oct 17 H21: Proof of Sylow.
  251015-124826: Oct 15 H19-20: The Sylow Theorem, groups of order 15 (11).
  251015-124825: Oct 15 H19-20: The Sylow Theorem, groups of order 15 (10).
  251015-124824: Oct 15 H19-20: The Sylow Theorem, groups of order 15 (9).
  251015-124823: Oct 15 H19-20: The Sylow Theorem, groups of order 15 (8).
  251015-124822: Oct 15 H19-20: The Sylow Theorem, groups of order 15 (7).
  251015-124821: Oct 15 H19-20: The Sylow Theorem, groups of order 15 (6).
  251015-124820: Oct 15 H19-20: The Sylow Theorem, groups of order 15 (5).
  251015-124819: Oct 15 H19-20: The Sylow Theorem, groups of order 15 (4).
  251015-124818: Oct 15 H19-20: The Sylow Theorem, groups of order 15 (3).
  251015-124817: Oct 15 H19-20: The Sylow Theorem, groups of order 15 (2).
  251015-124816: Oct 15 H19-20: The Sylow Theorem, groups of order 15.
  251010-131519: Oct 10 Hour 18: More group actions (7).
  251010-131518: Oct 10 Hour 18: More group actions (6).
  251010-131517: Oct 10 Hour 18: More group actions (5).
  251010-131516: Oct 10 Hour 18: More group actions (4).
  251010-131515: Oct 10 Hour 18: More group actions (3).
  251010-131514: Oct 10 Hour 18: More group actions (2).
  251010-131513: Oct 10 Hour 18: More group actions.
  251008-130335: Oct 8 Hours 16-17: Proof of Jordan-Holder, group actions (13).
  251008-130334: Oct 8 Hours 16-17: Proof of Jordan-Holder, group actions (12).
  251008-130333: Oct 8 Hours 16-17: Proof of Jordan-Holder, group actions (11).
  251008-130332: Oct 8 Hours 16-17: Proof of Jordan-Holder, group actions (10).
  251008-130331: Oct 8 Hours 16-17: Proof of Jordan-Holder, group actions (9).
  251008-130330: Oct 8 Hours 16-17: Proof of Jordan-Holder, group actions (8).
  251008-130329: Oct 8 Hours 16-17: Proof of Jordan-Holder, group actions (7).
  251008-130328: Oct 8 Hours 16-17: Proof of Jordan-Holder, group actions (6).
  251008-130327: Oct 8 Hours 16-17: Proof of Jordan-Holder, group actions (5).
  251008-130326: Oct 8 Hours 16-17: Proof of Jordan-Holder, group actions (4).
  251008-130325: Oct 8 Hours 16-17: Proof of Jordan-Holder, group actions (3).
  251008-130324: Oct 8 Hours 16-17: Proof of Jordan-Holder, group actions (2).
  251008-130323: Oct 8 Hours 16-17: Proof of Jordan-Holder, group actions.
  251003-150050: Oct 3 Hour 15: Simplicity of $A_n$, Jordan-Holder (6).
  251003-150049: Oct 3 Hour 15: Simplicity of $A_n$, Jordan-Holder (5).
  251003-150048: Oct 3 Hour 15: Simplicity of $A_n$, Jordan-Holder (4).
  251003-150047: Oct 3 Hour 15: Simplicity of $A_n$, Jordan-Holder (3).
  251003-150046: Oct 3 Hour 15: Simplicity of $A_n$, Jordan-Holder (2).
  251003-150045: Oct 3 Hour 15: Simplicity of $A_n$, Jordan-Holder.
  251001-123333: Oct 1 Hours 13-14: Simple groups, signs of permutations, the simplicity of $A_n$ (10).
  251001-123332: Oct 1 Hours 13-14: Simple groups, signs of permutations, the simplicity of $A_n$ (9).
  251001-123331: Oct 1 Hours 13-14: Simple groups, signs of permutations, the simplicity of $A_n$ (8).
  251001-123330: Oct 1 Hours 13-14: Simple groups, signs of permutations, the simplicity of $A_n$ (7).
  251001-123329: Oct 1 Hours 13-14: Simple groups, signs of permutations, the simplicity of $A_n$ (6).
  251001-123328: Oct 1 Hours 13-14: Simple groups, signs of permutations, the simplicity of $A_n$ (5).
  251001-123327: Oct 1 Hours 13-14: Simple groups, signs of permutations, the simplicity of $A_n$ (4).
  251001-123326: Oct 1 Hours 13-14: Simple groups, signs of permutations, the simplicity of $A_n$ (3).
  251001-123325: Oct 1 Hours 13-14: Simple groups, signs of permutations, the simplicity of $A_n$ (2).
  251001-123324: Oct 1 Hours 13-14: Simple groups, signs of permutations, the simplicity of $A_n$.
  250926-130020: Sep 26 Hour 12: The 2nd and 3rd Isomorphism Theorem (6).
  250926-130019: Sep 26 Hour 12: The 2nd and 3rd Isomorphism Theorem (5).
  250926-130018: Sep 26 Hour 12: The 2nd and 3rd Isomorphism Theorem (4).
  250926-130017: Sep 26 Hour 12: The 2nd and 3rd Isomorphism Theorem (3).
  250926-130016: Sep 26 Hour 12: The 2nd and 3rd Isomorphism Theorem (2).
  250926-130015: Sep 26 Hour 12: The 2nd and 3rd Isomorphism Theorem.
  250924-124845: Sep 24 Hours 10-11: The isomorphism theorems (11).
  250924-124844: Sep 24 Hours 10-11: The isomorphism theorems (10).
  250924-124843: Sep 24 Hours 10-11: The isomorphism theorems (9).
  250924-124842: Sep 24 Hours 10-11: The isomorphism theorems (8).
  250924-124841: Sep 24 Hours 10-11: The isomorphism theorems (7).
  250924-124840: Sep 24 Hours 10-11: The isomorphism theorems (6).
  250924-124839: Sep 24 Hours 10-11: The isomorphism theorems (5).
  250924-124838: Sep 24 Hours 10-11: The isomorphism theorems (4).
  250924-124837: Sep 24 Hours 10-11: The isomorphism theorems (3).
  250924-124836: Sep 24 Hours 10-11: The isomorphism theorems (2).
  250924-124835: Sep 24 Hours 10-11: The isomorphism theorems.
  250919-131432: Sep 19 Hour 9: The quotient group construction (8).
  250919-131431: Sep 19 Hour 9: The quotient group construction (7).
  250919-131430: Sep 19 Hour 9: The quotient group construction (6).
  250919-131429: Sep 19 Hour 9: The quotient group construction (5).
  250919-131428: Sep 19 Hour 9: The quotient group construction (4).
  250919-131427: Sep 19 Hour 9: The quotient group construction (3).
  250919-131426: Sep 19 Hour 9: The quotient group construction (2).
  250919-131425: Sep 19 Hour 9: The quotient group construction.
  250917-122528: Sep 17 Hours 7-8: Homomorphisms, conjugations, kernels, images, normal subgroups (18).
  250917-122527: Sep 17 Hours 7-8: Homomorphisms, conjugations, kernels, images, normal subgroups (17).
  250917-122526: Sep 17 Hours 7-8: Homomorphisms, conjugations, kernels, images, normal subgroups (16).
  250917-122525: Sep 17 Hours 7-8: Homomorphisms, conjugations, kernels, images, normal subgroups (15).
  250917-122524: Sep 17 Hours 7-8: Homomorphisms, conjugations, kernels, images, normal subgroups (14).
  250917-122523: Sep 17 Hours 7-8: Homomorphisms, conjugations, kernels, images, normal subgroups (13).
  250917-122522: Sep 17 Hours 7-8: Homomorphisms, conjugations, kernels, images, normal subgroups (12).
  250917-122521: Sep 17 Hours 7-8: Homomorphisms, conjugations, kernels, images, normal subgroups (11).
  250917-122520: Sep 17 Hours 7-8: Homomorphisms, conjugations, kernels, images, normal subgroups (10).
  250917-122519: Sep 17 Hours 7-8: Homomorphisms, conjugations, kernels, images, normal subgroups (9).
  250917-122518: Sep 17 Hours 7-8: Homomorphisms, conjugations, kernels, images, normal subgroups (8).
  250917-122517: Sep 17 Hours 7-8: Homomorphisms, conjugations, kernels, images, normal subgroups (7).
  250917-122516: Sep 17 Hours 7-8: Homomorphisms, conjugations, kernels, images, normal subgroups (6).
  250917-122515: Sep 17 Hours 7-8: Homomorphisms, conjugations, kernels, images, normal subgroups (5).
  250917-122514: Sep 17 Hours 7-8: Homomorphisms, conjugations, kernels, images, normal subgroups (4).
  250917-122513: Sep 17 Hours 7-8: Homomorphisms, conjugations, kernels, images, normal subgroups (3).
  250917-122512: Sep 17 Hours 7-8: Homomorphisms, conjugations, kernels, images, normal subgroups (2).
  250917-122511: Sep 17 Hours 7-8: Homomorphisms, conjugations, kernels, images, normal subgroups.
  250912-162547: Sep 12 Hour 6: End of NCGE, homomorphisms (9).
  250912-162544: Sep 12 Hour 6: End of NCGE, homomorphisms (8).
  250912-162540: Sep 12 Hour 6: End of NCGE, homomorphisms (7).
  250912-162537: Sep 12 Hour 6: End of NCGE, homomorphisms (6).
  250912-162534: Sep 12 Hour 6: End of NCGE, homomorphisms (5).
  250912-162530: Sep 12 Hour 6: End of NCGE, homomorphisms (4).
  250912-162528: Sep 12 Hour 6: End of NCGE, homomorphisms (3).
  250912-162525: Sep 12 Hour 6: End of NCGE, homomorphisms (2).
  250912-162522: Sep 12 Hour 6: End of NCGE, homomorphisms.
  250910-115809: Sep 10 Hours 4-5: Even more Non-Commutative Gaussian Elimination (7).
  250910-114325: Sep 10 Hours 4-5: Even more Non-Commutative Gaussian Elimination (6).
  250910-113126: Sep 10 Hours 4-5: Even more Non-Commutative Gaussian Elimination (5).
  250910-112545: Sep 10 Hours 4-5: Even more Non-Commutative Gaussian Elimination (4).
  250910-105510: Sep 10 Hours 4-5: Even more Non-Commutative Gaussian Elimination (3).
  250910-105004: Sep 10 Hours 4-5: Even more Non-Commutative Gaussian Elimination (2).
  250910-104537: Sep 10 Hours 4-5: Even more Non-Commutative Gaussian Elimination.
  250905-122041: Sep 5 Hour 3: More Non-Commutative Gaussian Elimination (3).
  250905-122040: Sep 5 Hour 3: More Non-Commutative Gaussian Elimination (2).
  250905-122039: Sep 5 Hour 3: More Non-Commutative Gaussian Elimination.
}
Notes for BBS/25-347-251119-170138.jpg:    [edit]