© | Dror Bar-Natan: Academic Pensieve: Blackboard Shots: Random

Blackboard Shots with Prefix "26-1301"


260303-174716: March 3, H23-24: Barycentric subdivision, reduced homology, spheres, applications (11).

260303-174337: March 3, H23-24: Barycentric subdivision, reduced homology, spheres, applications (10).

260303-173635: March 3, H23-24: Barycentric subdivision, reduced homology, spheres, applications (9).

260303-172804: March 3, H23-24: Barycentric subdivision, reduced homology, spheres, applications (8).

260303-172758: March 3, H23-24: Barycentric subdivision, reduced homology, spheres, applications (7).

260303-171746: March 3, H23-24: Barycentric subdivision, reduced homology, spheres, applications (6).

260303-165805: March 3, H23-24: Barycentric subdivision, reduced homology, spheres, applications (5).

260303-165032: March 3, H23-24: Barycentric subdivision, reduced homology, spheres, applications (4).

260303-165030: March 3, H23-24: Barycentric subdivision, reduced homology, spheres, applications (3).

260303-163907: March 3, H23-24: Barycentric subdivision, reduced homology, spheres, applications (2).

260303-161000: March 3, H23-24: Barycentric subdivision, reduced homology, spheres, applications.

260302-110219: March 2, H22: Homology with small simplicies (6).

260302-105447: March 2, H22: Homology with small simplicies (5).

260302-104238: March 2, H22: Homology with small simplicies (4).

260302-104235: March 2, H22: Homology with small simplicies (3).

260302-103252: March 2, H22: Homology with small simplicies (2).

260302-102849: March 2, H22: Homology with small simplicies.

260224-180123: Feb 24 H20-21: Prizms, exact sequences, relative homology, excision (13).

260224-175626: Feb 24 H20-21: Prizms, exact sequences, relative homology, excision (12).

260224-174854: Feb 24 H20-21: Prizms, exact sequences, relative homology, excision (11).

260224-172809: Feb 24 H20-21: Prizms, exact sequences, relative homology, excision (10).

260224-170523: Feb 24 H20-21: Prizms, exact sequences, relative homology, excision (9).

260224-165520: Feb 24 H20-21: Prizms, exact sequences, relative homology, excision (8).

260224-165514: Feb 24 H20-21: Prizms, exact sequences, relative homology, excision (7).

260224-164513: Feb 24 H20-21: Prizms, exact sequences, relative homology, excision (6).

260224-164441: Feb 24 H20-21: Prizms, exact sequences, relative homology, excision (5).

260224-163918: Feb 24 H20-21: Prizms, exact sequences, relative homology, excision (4).

260224-163221: Feb 24 H20-21: Prizms, exact sequences, relative homology, excision (3).

260224-163216: Feb 24 H20-21: Prizms, exact sequences, relative homology, excision (2).

260224-152734: Feb 24 H20-21: Prizms, exact sequences, relative homology, excision.

260223-110201: Feb 23 H19: The prizm construction (7).

260223-110025: Feb 23 H19: The prizm construction (5).

260223-104408: Feb 23 H19: The prizm construction (4).

260223-104055: Feb 23 H19: The prizm construction (3).

260223-102833: Feb 23 H19: The prizm construction (2).

260223-101831: Feb 23 H19: The prizm construction.

260210-175900: Feb 10 H17-18: The quintic and more homology (10).

260210-175737: Feb 10 H17-18: The quintic and more homology (9).

260210-175211: Feb 10 H17-18: The quintic and more homology (8).

260210-174424: Feb 10 H17-18: The quintic and more homology (7).

260210-174407: Feb 10 H17-18: The quintic and more homology (6).

260210-173249: Feb 10 H17-18: The quintic and more homology (5).

260210-172811: Feb 10 H17-18: The quintic and more homology (4).

260210-171427: Feb 10 H17-18: The quintic and more homology (3).

260210-171421: Feb 10 H17-18: The quintic and more homology (2).

260210-171417: Feb 10 H17-18: The quintic and more homology.

260209-110132: Feb 9 H16: A bit on Wirtinger and a bit on homology (7).

260209-110129: Feb 9 H16: A bit on Wirtinger and a bit on homology (6).

260209-105539: Feb 9 H16: A bit on Wirtinger and a bit on homology (5).

260209-104135: Feb 9 H16: A bit on Wirtinger and a bit on homology (4).

260209-104130: Feb 9 H16: A bit on Wirtinger and a bit on homology (3).

260209-103339: Feb 9 H16: A bit on Wirtinger and a bit on homology (2).

260209-103330: Feb 9 H16: A bit on Wirtinger and a bit on homology.

260203-175439: Feb 3 H14-15: Proof of the main theorem of covering spaces (8).

260203-175418: Feb 3 H14-15: Proof of the main theorem of covering spaces (7).

260203-172335: Feb 3 H14-15: Proof of the main theorem of covering spaces (6).

260203-170447: Feb 3 H14-15: Proof of the main theorem of covering spaces (5).

260203-170240: Feb 3 H14-15: Proof of the main theorem of covering spaces (4).

260203-165605: Feb 3 H14-15: Proof of the main theorem of covering spaces (3).

260203-165559: Feb 3 H14-15: Proof of the main theorem of covering spaces (2).

260203-160712: Feb 3 H14-15: Proof of the main theorem of covering spaces.

260202-110112: Feb 2 H13: G-Sets (6).

260202-105334: Feb 2 H13: G-Sets (5).

260202-104558: Feb 2 H13: G-Sets (4).

260202-103440: Feb 2 H13: G-Sets (3).

260202-102133: Feb 2 H13: G-Sets (2).

260202-101024: Feb 2 H13: G-Sets.

260127-180153: Jan 27 H11-12: Coverings, tilings, categories (13).

260127-175951: Jan 27 H11-12: Coverings, tilings, categories (12).

260127-175938: Jan 27 H11-12: Coverings, tilings, categories (11).

260127-174208: Jan 27 H11-12: Coverings, tilings, categories (10).

260127-173032: Jan 27 H11-12: Coverings, tilings, categories (9).

260127-172409: Jan 27 H11-12: Coverings, tilings, categories (8).

260127-171757: Jan 27 H11-12: Coverings, tilings, categories (7).

260127-165820: Jan 27 H11-12: Coverings, tilings, categories (6).

260127-165609: Jan 27 H11-12: Coverings, tilings, categories (5).

260127-165034: Jan 27 H11-12: Coverings, tilings, categories (4).

260127-164639: Jan 27 H11-12: Coverings, tilings, categories (3).

260127-163501: Jan 27 H11-12: Coverings, tilings, categories (2).

260127-160702: Jan 27 H11-12: Coverings, tilings, categories.

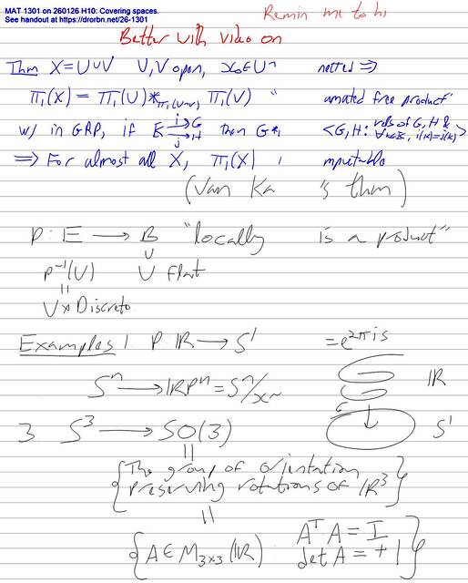
260126-110130: Jan 26 H10: Half class on coverings (2).

260126-110129: Jan 26 H10: Half class on coverings.

260120-175640: Jan 20 H8-9: Kupers on Seifert van Kampen II (22).

260120-175331: Jan 20 H8-9: Kupers on Seifert van Kampen II (21).

260120-174606: Jan 20 H8-9: Kupers on Seifert van Kampen II (20).

260120-173954: Jan 20 H8-9: Kupers on Seifert van Kampen II (19).

260120-173621: Jan 20 H8-9: Kupers on Seifert van Kampen II (18).

260120-173315: Jan 20 H8-9: Kupers on Seifert van Kampen II (17).

260120-172434: Jan 20 H8-9: Kupers on Seifert van Kampen II (16).

260120-172317: Jan 20 H8-9: Kupers on Seifert van Kampen II (15).

260120-172204: Jan 20 H8-9: Kupers on Seifert van Kampen II (14).

260120-170154: Jan 20 H8-9: Kupers on Seifert van Kampen II (13).

260120-170123: Jan 20 H8-9: Kupers on Seifert van Kampen II (12).

260120-164637: Jan 20 H8-9: Kupers on Seifert van Kampen II (11).

260120-164527: Jan 20 H8-9: Kupers on Seifert van Kampen II (10).

260120-164236: Jan 20 H8-9: Kupers on Seifert van Kampen II (9).

260120-164127: Jan 20 H8-9: Kupers on Seifert van Kampen II (8).

260120-163555: Jan 20 H8-9: Kupers on Seifert van Kampen II (7).

260120-163233: Jan 20 H8-9: Kupers on Seifert van Kampen II (6).

260120-162737: Jan 20 H8-9: Kupers on Seifert van Kampen II (5).

260120-162529: Jan 20 H8-9: Kupers on Seifert van Kampen II (4).

260120-162150: Jan 20 H8-9: Kupers on Seifert van Kampen II (3).

260120-161855: Jan 20 H8-9: Kupers on Seifert van Kampen II (2).

260120-161817: Jan 20 H8-9: Kupers on Seifert van Kampen II.

260119-110258: Jan 19 H7: Kupers on Seifert van Kampen (15).

260119-110249: Jan 19 H7: Kupers on Seifert van Kampen (14).

260119-105330: Jan 19 H7: Kupers on Seifert van Kampen (13).

260119-105123: Jan 19 H7: Kupers on Seifert van Kampen (12).

260119-105119: Jan 19 H7: Kupers on Seifert van Kampen (11).

260119-104346: Jan 19 H7: Kupers on Seifert van Kampen (10).

260119-104342: Jan 19 H7: Kupers on Seifert van Kampen (9).

260119-104048: Jan 19 H7: Kupers on Seifert van Kampen (8).

260119-103055: Jan 19 H7: Kupers on Seifert van Kampen (7).

260119-102652: Jan 19 H7: Kupers on Seifert van Kampen (6).

260119-102341: Jan 19 H7: Kupers on Seifert van Kampen (5).

260119-101850: Jan 19 H7: Kupers on Seifert van Kampen (4).

260119-101614: Jan 19 H7: Kupers on Seifert van Kampen (3).

260119-101609: Jan 19 H7: Kupers on Seifert van Kampen (2).

260119-101603: Jan 19 H7: Kupers on Seifert van Kampen.

260113-180323: Jan 13 H5-6: Functoriallity, topological applications (17).

260113-175720: Jan 13 H5-6: Functoriallity, topological applications (16).

260113-175712: Jan 13 H5-6: Functoriallity, topological applications (15).

260113-175104: Jan 13 H5-6: Functoriallity, topological applications (14).

260113-174343: Jan 13 H5-6: Functoriallity, topological applications (13).

260113-174340: Jan 13 H5-6: Functoriallity, topological applications (12).

260113-174331: Jan 13 H5-6: Functoriallity, topological applications (11).

260113-172156: Jan 13 H5-6: Functoriallity, topological applications (10).

260113-172144: Jan 13 H5-6: Functoriallity, topological applications (9).

260113-170256: Jan 13 H5-6: Functoriallity, topological applications (8).

260113-170242: Jan 13 H5-6: Functoriallity, topological applications (7).

260113-164944: Jan 13 H5-6: Functoriallity, topological applications (6).

260113-164423: Jan 13 H5-6: Functoriallity, topological applications (5).

260113-163551: Jan 13 H5-6: Functoriallity, topological applications (4).

260113-163205: Jan 13 H5-6: Functoriallity, topological applications (3).

260113-162238: Jan 13 H5-6: Functoriallity, topological applications (2).

260113-161241: Jan 13 H5-6: Functoriallity, topological applications.

260112-110126: The fundamental theorem of algebra, categories (10).

260112-105907: The fundamental theorem of algebra, categories (9).

260112-105558: The fundamental theorem of algebra, categories (8).

260112-104837: The fundamental theorem of algebra, categories (7).

260112-104726: The fundamental theorem of algebra, categories (6).

260112-104321: The fundamental theorem of algebra, categories (5).

260112-103850: The fundamental theorem of algebra, categories (4).

260112-103843: The fundamental theorem of algebra, categories (3).

260112-103218: The fundamental theorem of algebra, categories (2).

260112-102047: The fundamental theorem of algebra, categories.

260106-180333: $\pi_1(S^1)$ (12).

260106-180325: $\pi_1(S^1)$ (11).

260106-175333: $\pi_1(S^1)$ (10).

260106-175327: $\pi_1(S^1)$ (9).

260106-172446: $\pi_1(S^1)$ (8).

260106-172433: $\pi_1(S^1)$ (7).

260106-165555: $\pi_1(S^1)$ (6).

260106-164930: $\pi_1(S^1)$ (5).

260106-163954: $\pi_1(S^1)$ (4).

260106-163930: $\pi_1(S^1)$ (3).

260106-163901: $\pi_1(S^1)$ (2).

260106-162115: $\pi_1(S^1)$.

260105-110227: Course introduction, the fundamental group (7).

260105-105354: Course introduction, the fundamental group (6).

260105-104543: Course introduction, the fundamental group (5).

260105-103750: Course introduction, the fundamental group (4).

260105-103744: Course introduction, the fundamental group (3).

260105-101956: Course introduction, the fundamental group (2).

260105-100731: Course introduction, the fundamental group.