Blackboard Shots with Prefix "25-347"
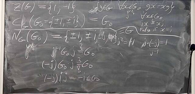
 251023-062249
251023-062249: Oct 22 H22-23: Groups of order 21, semi-direct products (11).
 
 251023-062248
251023-062248: Oct 22 H22-23: Groups of order 21, semi-direct products (10).
 
 251023-062247
251023-062247: Oct 22 H22-23: Groups of order 21, semi-direct products (9).
 
 251023-062246
251023-062246: Oct 22 H22-23: Groups of order 21, semi-direct products (8).
 
 251023-062245
251023-062245: Oct 22 H22-23: Groups of order 21, semi-direct products (7).
 
 251023-062244
251023-062244: Oct 22 H22-23: Groups of order 21, semi-direct products (6).
 
 251023-062243
251023-062243: Oct 22 H22-23: Groups of order 21, semi-direct products (5).
 
 251023-062242
251023-062242: Oct 22 H22-23: Groups of order 21, semi-direct products (4).
 
 251023-062241
251023-062241: Oct 22 H22-23: Groups of order 21, semi-direct products (3).
 
 251023-062240
251023-062240: Oct 22 H22-23: Groups of order 21, semi-direct products (2).
 
 251023-062239
251023-062239: Oct 22 H22-23: Groups of order 21, semi-direct products.
 
 251015-124826
251015-124826: Oct 15 H19-20: The Sylow Theorem, groups of order 15 (11).
 
 251015-124825
251015-124825: Oct 15 H19-20: The Sylow Theorem, groups of order 15 (10).
 
 251015-124824
251015-124824: Oct 15 H19-20: The Sylow Theorem, groups of order 15 (9).
 
 251015-124823
251015-124823: Oct 15 H19-20: The Sylow Theorem, groups of order 15 (8).
 
 251015-124822
251015-124822: Oct 15 H19-20: The Sylow Theorem, groups of order 15 (7).
 
 251015-124821
251015-124821: Oct 15 H19-20: The Sylow Theorem, groups of order 15 (6).
 
 251015-124820
251015-124820: Oct 15 H19-20: The Sylow Theorem, groups of order 15 (5).
 
 251015-124819
251015-124819: Oct 15 H19-20: The Sylow Theorem, groups of order 15 (4).
 
 251015-124818
251015-124818: Oct 15 H19-20: The Sylow Theorem, groups of order 15 (3).
 
 251015-124817
251015-124817: Oct 15 H19-20: The Sylow Theorem, groups of order 15 (2).
 
 251015-124816
251015-124816: Oct 15 H19-20: The Sylow Theorem, groups of order 15.
 
 251008-130335
251008-130335: Oct 8 Hours 16-17: Proof of Jordan-Holder, group actions (13).
 
 251008-130334
251008-130334: Oct 8 Hours 16-17: Proof of Jordan-Holder, group actions (12).
 
 251008-130333
251008-130333: Oct 8 Hours 16-17: Proof of Jordan-Holder, group actions (11).
 
 251008-130332
251008-130332: Oct 8 Hours 16-17: Proof of Jordan-Holder, group actions (10).
 
 251008-130331
251008-130331: Oct 8 Hours 16-17: Proof of Jordan-Holder, group actions (9).
 
 251008-130330
251008-130330: Oct 8 Hours 16-17: Proof of Jordan-Holder, group actions (8).
 
 251008-130329
251008-130329: Oct 8 Hours 16-17: Proof of Jordan-Holder, group actions (7).
 
 251008-130328
251008-130328: Oct 8 Hours 16-17: Proof of Jordan-Holder, group actions (6).
 
 251008-130327
251008-130327: Oct 8 Hours 16-17: Proof of Jordan-Holder, group actions (5).
 
 251008-130326
251008-130326: Oct 8 Hours 16-17: Proof of Jordan-Holder, group actions (4).
 
 251008-130325
251008-130325: Oct 8 Hours 16-17: Proof of Jordan-Holder, group actions (3).
 
 251008-130324
251008-130324: Oct 8 Hours 16-17: Proof of Jordan-Holder, group actions (2).
 
 251008-130323
251008-130323: Oct 8 Hours 16-17: Proof of Jordan-Holder, group actions.
 
 251003-150050
251003-150050: Oct 3 Hour 15: Simplicity of $A_n$, Jordan-Holder (6).
 
 251003-150049
251003-150049: Oct 3 Hour 15: Simplicity of $A_n$, Jordan-Holder (5).
 
 251003-150048
251003-150048: Oct 3 Hour 15: Simplicity of $A_n$, Jordan-Holder (4).
 
 251003-150047
251003-150047: Oct 3 Hour 15: Simplicity of $A_n$, Jordan-Holder (3).
 
 251003-150046
251003-150046: Oct 3 Hour 15: Simplicity of $A_n$, Jordan-Holder (2).
 
 251003-150045
251003-150045: Oct 3 Hour 15: Simplicity of $A_n$, Jordan-Holder.
 
 251001-123333
251001-123333: Oct 1 Hours 13-14: Simple groups, signs of permutations, the simplicity of $A_n$ (10).
 
 251001-123332
251001-123332: Oct 1 Hours 13-14: Simple groups, signs of permutations, the simplicity of $A_n$ (9).
 
 251001-123331
251001-123331: Oct 1 Hours 13-14: Simple groups, signs of permutations, the simplicity of $A_n$ (8).
 
 251001-123330
251001-123330: Oct 1 Hours 13-14: Simple groups, signs of permutations, the simplicity of $A_n$ (7).
 
 251001-123329
251001-123329: Oct 1 Hours 13-14: Simple groups, signs of permutations, the simplicity of $A_n$ (6).
 
 251001-123328
251001-123328: Oct 1 Hours 13-14: Simple groups, signs of permutations, the simplicity of $A_n$ (5).
 
 251001-123327
251001-123327: Oct 1 Hours 13-14: Simple groups, signs of permutations, the simplicity of $A_n$ (4).
 
 251001-123326
251001-123326: Oct 1 Hours 13-14: Simple groups, signs of permutations, the simplicity of $A_n$ (3).
 
 251001-123325
251001-123325: Oct 1 Hours 13-14: Simple groups, signs of permutations, the simplicity of $A_n$ (2).
 
 251001-123324
251001-123324: Oct 1 Hours 13-14: Simple groups, signs of permutations, the simplicity of $A_n$.
 
 250926-130020
250926-130020: Sep 26 Hour 12: The 2nd and 3rd Isomorphism Theorem (6).
 
 250926-130019
250926-130019: Sep 26 Hour 12: The 2nd and 3rd Isomorphism Theorem (5).
 
 250926-130018
250926-130018: Sep 26 Hour 12: The 2nd and 3rd Isomorphism Theorem (4).
 
 250926-130017
250926-130017: Sep 26 Hour 12: The 2nd and 3rd Isomorphism Theorem (3).
 
 250926-130016
250926-130016: Sep 26 Hour 12: The 2nd and 3rd Isomorphism Theorem (2).
 
 250926-130015
250926-130015: Sep 26 Hour 12: The 2nd and 3rd Isomorphism Theorem.
 
 250924-124845
250924-124845: Sep 24 Hours 10-11: The isomorphism theorems (11).
 
 250924-124844
250924-124844: Sep 24 Hours 10-11: The isomorphism theorems (10).
 
 250919-131432
250919-131432: Sep 19 Hour 9: The quotient group construction (8).
 
 250919-131431
250919-131431: Sep 19 Hour 9: The quotient group construction (7).
 
 250919-131430
250919-131430: Sep 19 Hour 9: The quotient group construction (6).
 
 250919-131429
250919-131429: Sep 19 Hour 9: The quotient group construction (5).
 
 250919-131428
250919-131428: Sep 19 Hour 9: The quotient group construction (4).
 
 250919-131427
250919-131427: Sep 19 Hour 9: The quotient group construction (3).
 
 250919-131426
250919-131426: Sep 19 Hour 9: The quotient group construction (2).
 
 250917-122528
250917-122528: Sep 17 Hours 7-8: Homomorphisms, conjugations, kernels, images, normal subgroups (18).
 
 250917-122527
250917-122527: Sep 17 Hours 7-8: Homomorphisms, conjugations, kernels, images, normal subgroups (17).
 
 250917-122526
250917-122526: Sep 17 Hours 7-8: Homomorphisms, conjugations, kernels, images, normal subgroups (16).
 
 250917-122525
250917-122525: Sep 17 Hours 7-8: Homomorphisms, conjugations, kernels, images, normal subgroups (15).
 
 250917-122524
250917-122524: Sep 17 Hours 7-8: Homomorphisms, conjugations, kernels, images, normal subgroups (14).
 
 250917-122523
250917-122523: Sep 17 Hours 7-8: Homomorphisms, conjugations, kernels, images, normal subgroups (13).
 
 250917-122522
250917-122522: Sep 17 Hours 7-8: Homomorphisms, conjugations, kernels, images, normal subgroups (12).
 
 250917-122521
250917-122521: Sep 17 Hours 7-8: Homomorphisms, conjugations, kernels, images, normal subgroups (11).
 
 250917-122520
250917-122520: Sep 17 Hours 7-8: Homomorphisms, conjugations, kernels, images, normal subgroups (10).
 
 250917-122519
250917-122519: Sep 17 Hours 7-8: Homomorphisms, conjugations, kernels, images, normal subgroups (9).
 
 250917-122518
250917-122518: Sep 17 Hours 7-8: Homomorphisms, conjugations, kernels, images, normal subgroups (8).
 
 250917-122517
250917-122517: Sep 17 Hours 7-8: Homomorphisms, conjugations, kernels, images, normal subgroups (7).
 
 250917-122516
250917-122516: Sep 17 Hours 7-8: Homomorphisms, conjugations, kernels, images, normal subgroups (6).
 
 250917-122515
250917-122515: Sep 17 Hours 7-8: Homomorphisms, conjugations, kernels, images, normal subgroups (5).
 
 250917-122514
250917-122514: Sep 17 Hours 7-8: Homomorphisms, conjugations, kernels, images, normal subgroups (4).
 
 250917-122513
250917-122513: Sep 17 Hours 7-8: Homomorphisms, conjugations, kernels, images, normal subgroups (3).
 
 250917-122512
250917-122512: Sep 17 Hours 7-8: Homomorphisms, conjugations, kernels, images, normal subgroups (2).
 
 250917-122511
250917-122511: Sep 17 Hours 7-8: Homomorphisms, conjugations, kernels, images, normal subgroups.
 
 250910-115809
250910-115809: Sep 10 Hours 4-5: Even more Non-Commutative Gaussian Elimination (7).
 
 250910-114325
250910-114325: Sep 10 Hours 4-5: Even more Non-Commutative Gaussian Elimination (6).
 
 250910-113126
250910-113126: Sep 10 Hours 4-5: Even more Non-Commutative Gaussian Elimination (5).
 
 250910-112545
250910-112545: Sep 10 Hours 4-5: Even more Non-Commutative Gaussian Elimination (4).
 
 250910-105510
250910-105510: Sep 10 Hours 4-5: Even more Non-Commutative Gaussian Elimination (3).
 
 250910-105004
250910-105004: Sep 10 Hours 4-5: Even more Non-Commutative Gaussian Elimination (2).
 
 250910-104537
250910-104537: Sep 10 Hours 4-5: Even more Non-Commutative Gaussian Elimination.
 
 250905-122041
250905-122041: Sep 5 Hour 3: More Non-Commutative Gaussian Elimination (3).
 
 250905-122040
250905-122040: Sep 5 Hour 3: More Non-Commutative Gaussian Elimination (2).
 
 250905-122039
250905-122039: Sep 5 Hour 3: More Non-Commutative Gaussian Elimination.